Evolutionary ecologist, Stephen Heard (Scientist Sees Squirrel) linked to my blog yesterday. Heard’s post asks: “Why do we make statistics so hard for our students?” I recently blogged Barnard who declared “We need more complexity” in statistical education. I agree with both: after all, Barnard also called for stressing the overarching reasoning for given methods, and that’s in sync with Heard. Here are some excerpts from Heard’s (Oct 6, 2015) post. I follow with some remarks.
If you’re like me, you’re continually frustrated by the fact that undergraduate students struggle to understand statistics. Actually, that’s putting it mildly: a large fraction of undergraduates simply refuse to understand statistics; mention a requirement for statistical data analysis in your course and you’ll get eye-rolling, groans, or (if it’s early enough in the semester) a rash of course-dropping.
This bothers me, because we can’t do inference in science without statistics*. Why are students so unreceptive to something so important? In unguarded moments, I’ve blamed it on the students themselves for having decided, a priori and in a self-fulfilling prophecy, that statistics is math, and they can’t do math. I’ve blamed it on high-school math teachers for making math dull. I’ve blamed it on high-school guidance counselors for telling students that if they don’t like math, they should become biology majors. I’ve blamed it on parents for allowing their kids to dislike math. I’ve even blamed it on the boogie**.
All these parties (except the boogie) are guilty. But I’ve come to understand that my list left out the most guilty party of all: us. By “us” I mean university faculty members who teach statistics – whether they’re in Departments of Mathematics, Departments of Statistics, or (gasp) Departments of Biology. We make statistics needlessly difficult for our students, and I don’t understand why.
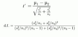
The problem is captured in the image above – the formulas needed to calculate Welch’s t-test. They’re arithmetically a bit complicated, and they’re used in one particular situation: comparing two means when sample sizes and variances are unequal. If you want to compare three means, you need a different set of formulas; if you want to test for a non-zero slope, you need another set again; if you want to compare success rates in two binary trials, another set still; and so on. And each set of formulas works only given the correctness of its own particular set of assumptions about the data.
Given this, can we blame students for thinking statistics is complicated? No, we can’t; but we can blame ourselves for letting them think that it is. They think so because we consistently underemphasize the single most important thing about statistics: that this complication is an illusion. In fact, every significance test works exactly the same way.
Every significance test works exactly the same way. We should teach this first, teach it often, and teach it loudly; but we don’t. Instead, we make a huge mistake: we whiz by it and begin teaching test after test, bombarding students with derivations of test statistics and distributions and paying more attention to differences among tests than to their crucial, underlying identity. No wonder students resent statistics.
What do I mean by “every significance test works exactly the same way”? All (NHST) statistical tests respond to one problem with two simple steps.
The problem:
- We see apparent pattern, but we aren’t sure if we should believe it’s real, because our data are noisy.
The two steps:
- Step 1. Measure the strength of pattern in our data.
- Step 2. Ask ourselves, is this pattern strong enough to be believed?
Teaching the problem motivates the use of statistics in the first place (many math-taught courses, and nearly all biology-taught ones, do a good job of this). Teaching the two steps gives students the tools to test any hypothesis – understanding that it’s just a matter of choosing the right arithmetic for their particular data. This is where we seem to fall down.
Step 1, of course, is the test statistic. Our job is to find (or invent) a number that measures the strength of any given pattern. It’s not surprising that the details of computing such a number depend on the pattern we want to measure (difference in two means, slope of a line, whatever). But those details always involve the three things that we intuitively understand to be part of a pattern’s “strength” (illustrated below): the raw size of the apparent effect (in Welch’s t, the difference in the two sample means); the amount of noise in the data (in Welch’s t, the two sample standard deviations), and the amount of data in hand (in Welch’s t, the two sample sizes). You can see by inspection that these behave in the Welch’s formulas just the way they should: t gets bigger if the means are farther apart, the samples are less noisy, and/or the sample sizes are larger. All the rest is uninteresting arithmetical detail.
Step 2 is the P-value. We have to obtain a P-value corresponding to our test statistic, which means knowing whether assumptions are met (so we can use a lookup table) or not (so we should use randomization or switch to a different test***). Every test uses a different table – but all the tables work the same way, so the differences are again just arithmetic. Interpreting the P-value once we have it is a snap, because it doesn’t matter what arithmetic we did along the way: the P-value for any test is the probability of a pattern as strong as ours (or stronger), in the absence of any true underlying effect. If this is low, we’d rather believe that our pattern arose from real biology than believe it arose from a staggering coincidence (Deborah Mayo explains the philosophy behind this here, or see her excellent blog).
Of course, there are lots of details in the differences among tests. These matter, but they matter in a second-order way: until we understand the underlying identity of how every test works, there’s no point worrying about the differences. And even then, the differences are not things we need to remember; they’re things we need to know to look up when needed. That’s why if I know how to do one statistical test – any one statistical test – I know how to do all of them.
Does this mean I’m advocating teaching “cookbook” statistics? Yes, but only if we use the metaphor carefully and not pejoratively. A cookbook is of little use to someone who knows nothing at all about cooking; but if you know a handful of basic principles, a cookbook guides you through thousands of cooking situations, for different ingredients and different goals. All cooks own cookbooks; few memorize them.
So if we’re teaching statistics all wrong, here’s how to do it right: organize everything around the underlying identity. Start with it, spend lots of time on it, and illustrate it with one test (any test) worked through with detailed attention not to the computations, but to how that test takes us through the two steps. Don’t try to cover the “8 tests every undergraduate should know”; there’s no such list. Offer a statistical problem: some real data and a pattern, and ask the students how they might design a test to address that problem. There won’t be one right way, and even if there was, it would be less important than the exercise of thinking through the steps of the underlying identity.
You can read the rest of his blogpost here.
When I was a graduate teaching assistant in statistics at the Wharton School, the students used to call the class “Sadistics”. It was for that class that I first created “statistical recipes”, which helped them a lot, and I’ve used them in teaching philosophy of statistics– enriched with philosophical ingredients. I agree with Heard on the importance of stressing the overall logic of statistical inference. Enriched “recipes” that explain the goals and underlying (testing) rationale of basic methods like significance tests are much more valuable than running computer programs. I’m strongly in favor of churning out results by hand to get at the patterns of reasoning.
It’s important, however, to treat reported P-values as “nominal” and not “actual” until they pass an audit. Results based on cherry-picking, multiple testing, optional stopping, fishing, barn-hunting, and a host of other biasing selection effects, readily produce impressive-looking P-values that are spurious. Violated statistical assumptions should also be part of auditing P-values, as with other error probabilities. It’s actually an asset of P-values, not a liability, that they are provably altered by biasing selection effects. The danger is with methods that do not directly pick up on such problems, or even declare they are irrelevant to evidence. (See this msc kvetch among my rejected posts.)
Simple significance tests (generally with directional departures) have important roles, but something closer to Neyman-Pearson tests can avoid classic fallacies of rejection (as well as fallacies of negative results)––even though I favor a non-behavioristic interpretation. What is often called “a null hypothesis significance test (NHST)” in certain fields has little relation to Fisherian significance tests. If NHST permits going from a single small P-value to a genuine effect, it is illicit; and if it permits going directly to a substantive research claim it is doubly illicit! (It might be better to drop an acronym associated with so illicit an animal.)
Instead of recognizing and avoiding this well-known fallacy, many “reformers” forfeit statistical inferences altogether, often in favor of mere comparative assessments of plausibility. By giving lumps of prior probability to null hypotheses (usually of 0 effect), a Bayes Factor may be thought to show no evidence against, and even evidence for, a point null hypothesis, but in truth it only shows it scores higher relative to a particular chosen alternative (and often, relative as well to a chosen prior).[1] Among several untoward consequences, (a) this enshrines the illicit move from a statistical effect to a research hypothesis, and (b) it fails to identify methodological flaws with the studies. The way to genuinely debunk results is by identifying methodological flaws and demonstrating failures to replicate. It is fascinating to observe that the same fields that declare “it is too easy to obtain small P-values!” are the same ones that find it exceedingly difficult to obtain small P-values in preregistered replication studies! (I call this “The Paradox of Replication”.)
One remark on Heard’s note (*) that he will “refrain from snorting derisively at claims that we don’t need inferential statistics at all”. Please don’t.[2] When editors declare P-values “invalid” because they do not give posterior probabilities, set out with “test bans”, and “don’t ask don’t tell” policies, the worst thing is to refrain from calling them out.[3] A blogpost on the ban is here.
[1] In this spirit, it is argued that in order to block Bem’s inferences to ESP, we should appeal to its implausibility, and thus give a high prior to the null. (See Schimmack’s blog.) Other “implausible” research hypotheses can be similarly blocked at will.
[2] Heard gives a good defense of the P-value in an earlier post.That’s how I first heard of Heard. I notice he’s written a book due in spring 2016: The Scientists Guide to Writing (Princeton University).
[3] The editors offer no argument, by the way, that a high posterior probability in H, given x (whether subjective, default or other) is either necessary or sufficient for H to be warranted by x.






He isn’t — that’s just paralepsis in action.
Gee, I didn’t even know the word “paralipsis” (although now I do). I thought I was being kind of passive-aggressive there, but paralipsis sounds much more impressive – thanks!
As a pedant of long standing deeply invested in showing off my useless knowledge, I assure you: it was my pleasure. 😉
A bit more proslepsis is needed in this case.
Heard’s post is nice – I agree that this is how simple significance testing should be taught.
I would also include the ideas of ‘type m’ (magnitude) and ‘type s’ (sign) errors. I personally find these much clearer than I ever did for type I/II errors; I’m also a fan of how this approach brings home the emphasis on needing to choose (postulate) likely population-level discrepancies based on external info. Though the severity approach also makes this more explicit.
> I’m strongly in favor of churning out results by hand to get at the patterns of reasoning.
Ironically this is what allowed me to see the benefits of Bayesian estimation within models – working through Gelman et al.’s BDA3 and trying the methods on real problems helped me understand far better how Bayesian inference works than reading many of the more general arguments ever did.
I also wonder if one could introduce a simple ‘causal inference’ course targeted at a similar level. Most of the mis-uses of statistics seem to me to be due to ‘extra-statistical’ problems (though badly taught stats probably obscures this).
So – causal ideas first, ways of testing and estimating them with statistics second. Which is how those also taking physical science courses are taught, of course, but I’m thinking of the ‘softer sciences’ here.
omaclaren: No! 😉
At least many (e.g. Don Rubin) think you need to first get across how randomization is needed to make statistical methods sensible (get error rates that are actually defined e.g. get distributions of p.values are Uniform when there is no effect) before you can grasp how to struggle with removing confounding and bias when always at risk of failing to do that or even increasing it (e.g. never get distributions of p.values that are close to Uniform)
Shame given almost all studies done have some randomization flaws in their conduct and hence need to struggle with removing confounding and bias (though of smaller amounts).
But let’s pass swiftly over the needed extra complexity of statistical methods and non-identified nuisance parameters, lest we become distracted by our limitations (with thanks to Corey).
Keith O’Rourke
But arrows are so much easier to draw! 😉
(But then again, I own a book on category theory for high school students, so maybe I’m just optimistic! But then again, again – and speaking of ‘recipes’ and arrows – there is even this book as well: http://www.amazon.co.uk/Cakes-Custard-Category-Theory-understanding/dp/1781252874 Maybe arrows aren’t so hard!)
I should have indicated that graphical models are a helpful way to represent causal structure but the best structure you can end up having to deal with is just a direct effect from treatment to outcome of interest – as would be the case with an idealized randomized study.
But if you don’t know how to analyse that (e.g. what to make of getting a p.value that could have come from either a Uniform distribution or a non-Uniform one only vaguely know given unknown effect size) – where are you?
So start with idealized randomized study but realize the limitations.
As for math I prefer Peirce’s approach of thinking of it as an experiment performed on diagrams (or more general symbols) rather than physical objects.
Or maybe just “Kill Math” https://scientistseessquirrel.wordpress.com/2015/10/06/why-do-we-make-statistics-so-hard-for-our-students/comment-page-1/#comment-645
Keith O’Rourke
Phan: But the diagrams had better correspond in some manner to the physical phenomenon of interest. Kill Math?
Hi Keith,
I agree (I think), but also feel that causal thinking helps make explicit *why* an idealized randomized study is best.
‘An experiment performed on diagrams’ is a very category theory way of putting it! It’s hard to love math without being a little Platonic tho 🙂
PS Also a long time fan of Peirce since I discovered him in undergrad.
I agree with Heard that teaching hypothesis tests can be improved by teaching a general “recipe” and illustrating details with specific tests, but I do it a little differently, emphasizing model assumptions. See, for example, Day 2 slides at http://www.ma.utexas.edu/users/mks/CommonMistakes2015/commonmistakeshome2015.html (these are for a four-morning “continuing education” course, where students are assumed to have had at least an introductory statistics course, but where I assume that they don’t really understand hypothesis tests.)
Martha: These are excellent! Thank you so much for the link. I’ll study the course. I’m very much in favor of your emphasis on model assumptions, and it’s good that you don’t mix the “assumption” of the null being adequate with model assumptions. I hear critics of tests confuse the two kinds of assumptions. The latter is an “implicationary” (or conditional) assumption: it is merely used to draw out the implications of the claim under test. The implication does not disappear if the null hypothesis is rejected (despite what some learned people have said).
Martha: I have only looked at the rest of Day 2, but wanted to note that it’s not strictly correct to call a p-value a conditional probability since the truth of Ho is not a r.v. or its value. There’s no joint prob. It’s looking at the capability of the test to have resulted in a larger difference than observed, “computed under the assumption that” the null is true (i.e., that it adequately describes the data generating mechanism). This has been discussed from time to time on this blog (and Normal Deviate’s). Some say it’s picayune, but I actually think it’s important. IThanks again for sending the link to your course.
I initially found your comments surprising, so have spent some time looking at differences in conceptions of conditional probability on web blogs. It looks like we need to agree to disagree – my own perspective is that it is legitimate to consider a p-value as a conditional probability (see, e.g., the definition I give of conditional probability on p. 23 the Day 1 notes of my course: “Conditional probability: A probability with some condition imposed.” You may also want to look at the discussion of probability starting on p. 13 of the Day 1 notes.). I believe that this (less restrictive than yours) definition is best for the actual practice of modeling real world phenomena. However, I plan to add a note in my next year’s notes to mention that there is some controversy on the definition of conditional probability.
Martha: For a quick reply, let me paste a post from Normal Deviate on just this point. Thanks.
https://normaldeviate.wordpress.com/2013/03/14/double-misunderstandings-about-p-values/
The Normal Deviate post you point to is one that I had looked at before writing my comment. The part I can’t accept is:
“But it also makes no sense to talk about conditioning on {H_0}. You can only condition on things that were random in the first place.”
I don’t see any good justification for this.
Martha: This is the definition of conditional probability, based on the existence of a joint probability.
Mayo: Your reply doesn’t really respond to my comment, “I don’t see any good justification for this.”
As delineated by Juho Kokkala at http://andrewgelman.com/2013/03/12/misunderstanding-the-p-value/#comment-143592, there are two definitions of “conditional probability” floating around.
If I understand you correctly, you take Kokkala’s first definition as “the” definition of conditional probability. Rephrasing what I stated in my second post in this thread, I believe that Kokkala’s second (less restrictive) definition is best for the actual practice of modeling real world phenomena. So rephrasing my comment: I don’t see a good justification for using Kokkala’s first definition. If you believe there is a good justification, I am willing to consider it, but “This is the definition of conditional probability” does not qualify in my eyes as a good justification, since there is not one universally accepted definition of conditional probability.